Dissecting Cleavage Mechanisms
in Tensed Collagen Fibrils
using Reactive Molecular Dynamics Simulations
Concerning collagen


Citrus fruits contain Vitamin C ( đ )
1747, HMS Salisbury, James Lind performs the first clinical trial with a control group [1]
Image sources: left: The Capture of Chandernagore, March 1757 by Dominic Serres, the Elder in 1771, oil on canvas.
right: Riftbound, the League of Legends TCG ©Riot Games





Image sources: foot: Scientfic Animations, https://scientificanimations.com/wiki-images/, SEM: Hughes et al., Figure 5d of [2].

X,Y: proline or hydroxyproline
Prolyl hydroxylase ( đ )

Lysyl hydroxylase
â
( đ )
Lysyl oxidase
â

âMechanoradicals in tensed tendon collagen as a source of oxidative stressâ, Zapp et al. (2020) [3]
for this talk, and by extension, my thesis
âMechanical Activation Drastically Accelerates Amide Bond Hydrolysis,
Matching Enzyme Activityâ, Pill et al. (2019) [4]
Hydrolysis
vs.
Homolysis
What is the influence of the collagen structure on their competition?
Why do we still see radicals?




How do we make the atoms move?
\[ \begin{array}{rcl} F &=& ma \\ -\frac{dV}{dr} &=& m\frac{d^2r}{dt^2}, \end{array} \tag{1}\]
\(V\): potential
\(r\): position
\(F\): force
\(a\): acceleration
\(t\): time
\(m\): mass





Connectivity and parameters pre-defined!
So how do we do chemistry?



DFT: Density Functional Theory
TS: transition state
TI: Tetrahedral Intermediate
ZI: Zwitterionic Intermediate






[]: input parameters.

\(BD\): BĂŒrgi-Dunitz angle, 107°
\(FL\): Flippin-Lodge angle, 0°









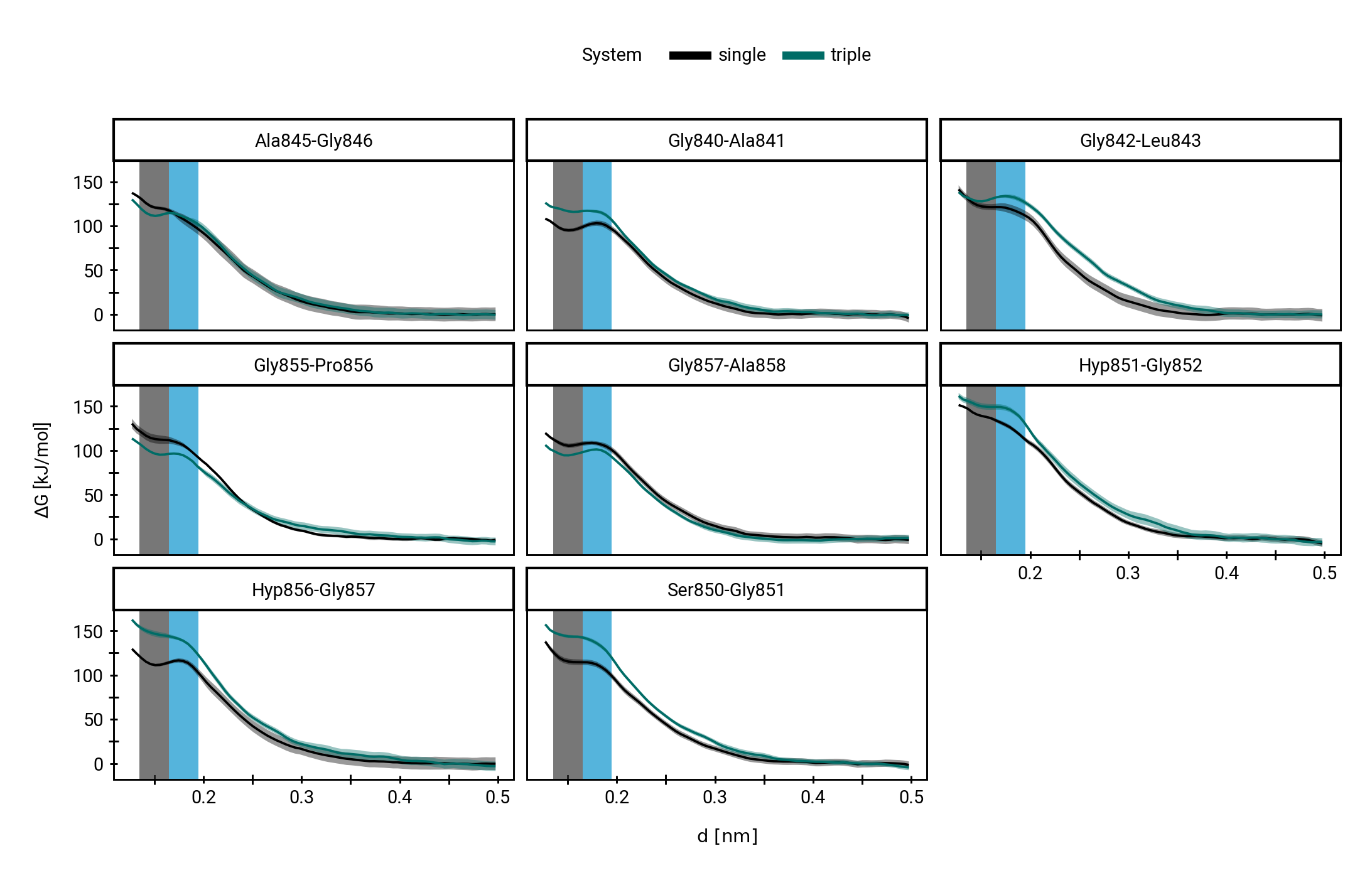
\(\Delta\Delta G\) 9.02 ±4.41 kJ/mol (±SEM)
Rate reduction due to triple helix:
30 to 40 times.
WHAM: Weighted Histogram Analysis Method [6]






\(\Delta\Delta G\) 9.02 ±4.41 kJ/mol (±SEM)
Image source Airplane: Martin Grandjean (vector), McGeddon (picture), US Air Force (hit plot concept), CC BY-SA 4.0, https://commons.wikimedia.org/w/index.php?curid=102017718

with Eric Hartmann and Kai Riedmiller,
inspired by Benedikt Rennekamp [7]
graeter-group.github.io/kimmdy/

Read now on bioRxiv:
KIMMDY: A biomolecular reaction emulator [8],
or soon in Nature Communications.

Schema made by Denis Kieswetter for [8]
doi:10.1101/2025.07.02.662624

KIMMDY takes care of the complicated topology modifications.

Graph Attentional Protein Parametrization by Leif Seute [9]
also a good excuse to show the mol* plugin I wrote for our documentation

Does not have to follow the chemically
accurate reaction coordinate

Arrhenius equation
\[ k = A\,\mathrm{e}^{\left(\frac{-\mathbf{E_\mathrm{a}}}{RT}\right)} \]
\(A\): pre-exponential factor (attempt frequency)
\(R\): gas constant
\(T\): temperature
Morse potential

SASA

SASA = Solvent Accessible Surface Area






\[ \mathrm{Rate}(bond, t) = \ \frac{\mathrm{SASA}(bond, t)}{\mathrm{SASA}_{max}} \cdot \ \frac{c_{OH^-}}{c_{OH^-_{\mathrm{exp}}}} \ \cdot \mathrm{rate}_{\mathrm{exp}}(F_{bond,t}) \tag{2}\]

peptide bonds near the center are still accessible










KIMMDY is a versatile tool for reactive MD simulations:
graeter-group.github.io/kimmdy/

Collagen triple helix impedes hydrolysis


Homolysis becomes competitive to hydrolysis due to force concentration in cross-linked collagen fibrils



This work was supported by the Klaus Tschira Foundation and has received funding from the European Research Council (ERC).





Image sources:
HAT schema by Denis Kieswetter
EPR spectrum and BDEs for DOPA and PYD by Daniel Sucerquia
other BDEs by Wojtek Treyde.




graeter-group.github.io/kimmdy/
Schema based on a figure by Daniele Procida [13].










Small multiples plot of the approach of the hydroxide in terms of distances of the carbonyl \(\ce{O}\) of the TI to nearest proton of either a MM solvent molecule (cyan), the protein (black) or the QM water (magenta) across all umbrella windows. Distances are average within each window and the windows belonging to the same approach simulation are connected. The thick lines are a LOESS curve across all windows.
Figure 1: The protonation states are show as the average number of protons assigned to either the hydroxyl \(\ce{O}\) or the carbonyl \(\ce{O}\) with all sampling windows averaged for each system. The region for detection of TS1 is shaded cyan, while the region for detection of the TI is shaded gray.